DSPE 、二硬脂酰基磷脂酰乙醇胺
¥0.00
DSPE-PEG 、二硬脂酰基磷脂酰乙醇胺-聚乙二醇
二硬脂酰磷脂酰乙醇胺-聚乙二醇-巯基,磷脂聚乙二醇巯基
MPEG甲氧基、DSPE聚乙二醇、二硬脂酰基磷脂酰乙醇胺-甲氧基
MPEG甲氧基、DSPE聚乙二醇
DSPE-PEG-PCM磷脂聚乙二醇-心肌细胞特异性靶向肽
DSPE-PEG-Mannose
聚乙二醇单甲醚聚己内酯
甲氧基聚乙二醇聚谷氨酸
甲氧基聚乙二醇-聚乳酸
甲氧基聚乙二醇-聚乳酸-羟基乙酸共聚物
甲氧基聚乙二醇聚赖氨酸
聚(丙交酯,乙交脂)-聚乙二醇-CY5
聚(丙交酯,乙交脂)-聚乙二醇-氨基
聚赖氨酸-CY5
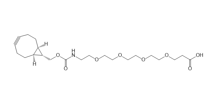
(4E)-反式环辛烯-C3-三聚乙二醇-C3-氨基
2-(环辛-2-炔-1-基氧基)乙酸
N-(3-叠氮丙基)生物素酰胺
二苯基环辛炔-羧酸
rel-1-((1R,8S,9s)-双环[6.1.0]壬-4-炔-9-基)-3-氧代-2,7,
四嗪-五聚乙二醇-酸
CY2-COOH,花菁染料CY2-羧基
CY3.5-COOH,花菁染料CY3.5-羧基
CY3-COOH,花菁染料CY3-羧基
CY5.5-COOH,花菁染料CY5.5-羧基
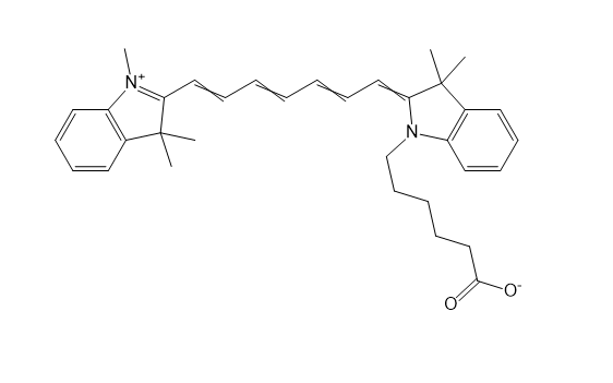
CY5-COOH,花菁染料CY5-羧基
CY7.5-COOH,花菁染料CY7.5-羧基
CY7-COOH,花菁染料CY7-羧基
FITC-D-LYS
磷脂修饰壳聚糖DSPE-Chitosan
葡聚糖-二苯基环辛炔
FITC-HA-Biotin荧光素
异硫氰酸荧光素-葡聚糖
甲基丙烯酰化葡聚糖
Dextran-Cy5 葡聚糖-花菁素Cy5
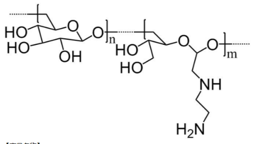
葡聚糖-氨基
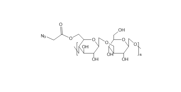
葡聚糖-叠氮
荧光素酮缩硫醇氨基
四乙二醇二对甲苯磺酸酯
生物素-酮缩硫醇-氨基
三乙烯基二醇
胆固醇-羧基
胆固醇-氨基、CLS-Amino、CLS-NH2
丙烷-2、2-二基双(硫)基二乙酸
丙烷-2、2-二基双(磺胺二基)二乙胺
2017